Addition of Water to Alkenes

The addition reactions of water to alkenes (hydration of alkenes) can be viewed as adding an H and OH groups to the double bond. There are a few ways of achieving this, and the key difference is the regiochemical outcome of the reaction. More specifically, depending what reagent we use, the addition to water can be in Markovnikov or anti-Markovnikov fashion:

 

 

A reminder that Markovnikov’s rule is followed when the X component of the HX reactant (for example HCl, HBr, HI, HOH) adds to the more substituted carbon atom.

Now that we know the hydration of alkanes is and what regiochemical outcomes are possible, let’s mention the methods used for each transformation. These are acid-catalyzed hydration and the hydroboration-oxidation of alkenes. The acid-catalyzed hydration is used for a Markovnikov addition of water, and hydroboration-oxidation is for the anti-Markovnikov addition:

 

Alkene hydration Markovnikov and anti Markovnikov

 

Notice that in the first reaction, we have a symmetrical alkene, and therefore the regiochemistry is irrelevant there and both methods give the same alcohol.

In the next part of this article, we will briefly discuss each of these methods for the hydration of unsymmetrical alkenes, and will also bring in the oxymercuration-demercuration reaction which is a useful alternative to the acid-catalyzed hydration of alkenes. You can check the linked articles in the text for more details about each of these reactions, 

 

Markovnikov Addition of Water to Alkenes

The most common way of hydrating alkenes in Markovnikov fashion is the acid-catalyzed hydration of alkenes which adds the OH group to the more substituted carbon atom:

 

 

The Mechanism of Acid-Catalyzed Hydration of Akenes

Let’s draw a mechanism for the acid-catalyzed hydration of but-1-ene to understand the regiochemistry of this hydration reaction. The reaction goes through a carbocation intermediate and out of two or more possibilities, the most stable one is formed. This is the more substituted carbocation because remember, their stability increases with the number of alkyl groups connected to the positively charged carbon atom:

 

acid-catalyzed hydration of alkene mechanism

 

Because the reaction goes through a carbocation intermediate, and this should be a hint to you to watch out for possible rearrangements. Check out the post about rearrangements in addition reactions of alkenes. As we have seen in SN1 and E1 reactions, whenever possible carbocation intermediates will undergo a rearrangement to form the more stable analog.

 

Rearrangements in Acid-Catalyzed Hydration of Alkenes

In the example, we have shown above, there is no possibility of converting the secondary carbocation to a tertiary carbocation. Let’s consider addition of water to alkene going through a transformation of a secondary carbocation to a tertiary one:

 

Hydride Shift Rearrangement in Acid-Catalyzed Hydration of Alkenes

 

Methyl and ring expansion rearrangements are possible during the hydration and other electrophilic addition reactions to alkenes. More on the rearrangements in alkene addition reactions can be found here.

 

Oximercuration-Demercuration to Avoid Rearrangements

One way of avoiding a rearmament in the hydration of alkenes following the Markovikov’s rule is the use of mercury acetate (Hg(OAc)2). This is called the Oxymercuration-Demercuration reaction for the hydration of alkenes:

 

 

The key difference, compared to acid-catalyzed hydration, is that the intermediate in the oxymercuration-demercuration reaction is the mercurinium ion which does not undergo a rearrangement. What is also important is that the water attacks the more substituted carbon of the mercurinium ion, thus the corresponding alcohol is formed (Markovnikov addition):

 

 

In the last part, the mercury is then removed using sodium borohydride (NaBH4) which reduces the acetoxymercury group and replaces it with its own hydrogens hydrogen. This is described as demercuration, and it is believed to be following a radical mechanism that is not covered in undergraduate courses.  

 

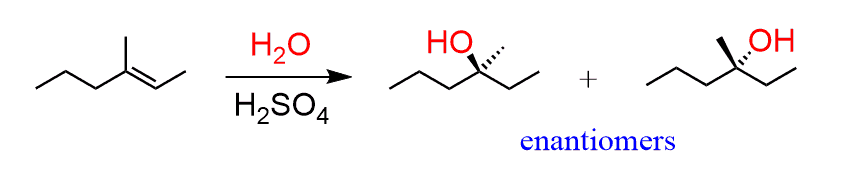
The Stereochemistry of Acid-catalyzed hydration

As we see in the mechanism shown above, if acid-catalyzed hydration produces an alcohol with one chirality center, then the products will be a mixture of two enantiomers:

 

 

The reason for this is the formation of the carbocation intermediate which, due to the planar geometry, is attacked by water from both faces thus leading the equal amounts of the newly forming chirality center. If more than one chirality centers are present in the product, the corresponding diastereomers will also be formed. Check this article about the stereochemistry of alkene addition reactions for more details.

 

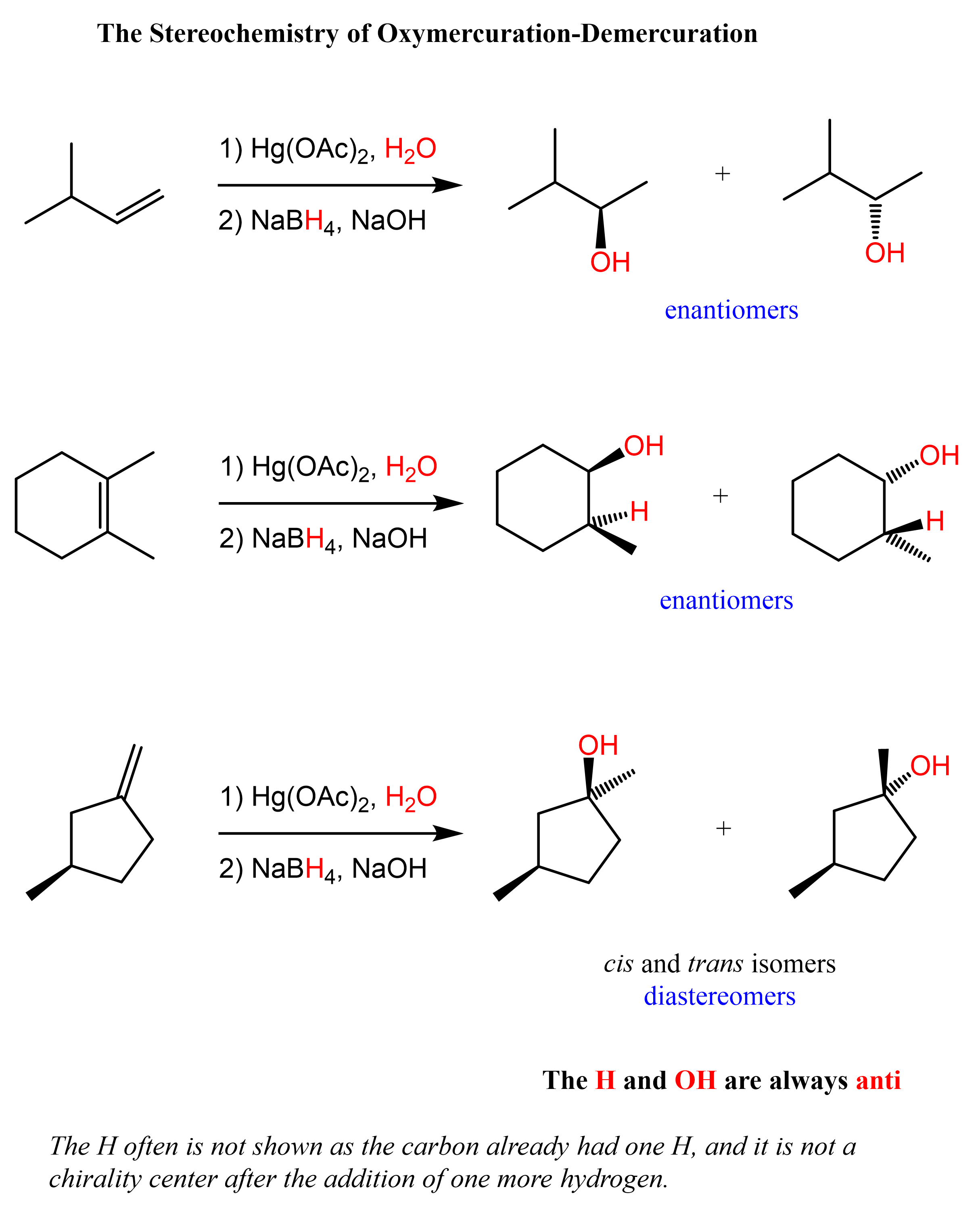
The Stereochemistry of Oxymercuration-Demercuration

In oxymercuration-demercuration, the H and OH are added to the opposite faces of the double bondThis is called anti addition. With this said, there is generally no control over which face of the double the OH and H are added unless there are some steric interactions preventing the addition from one of the sides. Therefore, chiral centers (if any) are formed in equal amounts and the product is a racemic mixture of two enantiomers

 

 

Notice from the last reaction that diastereomers can also be formed if the product contains two or more chirality centers.

This is because while the newly-forming centers are going to be R and S, the original chirality center is intact, thus the alcohols are not mirror images. Let’s also show the mechanism of how diastereomers can form in oxymercuration-demarcation relations:

 

 

You can read more about the stereochemistry of the addition reactions to alkenes in this post

 

Hydroboration-Oxidation of Alkenes

The hydroboration-oxidation does not go through a carbocation intermediate, and therefore, it adds the OH in anti Markovnikov fashion without any rearrangements:

 

 

Another difference between acid-catalyzed hydration and hydroboration is the stereochemistry of the addition. While hydroboration-oxidation is a syn addition, meaning both the hydrogen and OH add to the same face of the double bond, there is no stereoselectivity in the acid-catalyzed hydration as the carbocation is attacked from both sides of its planar geometry.

 

 

Check the corresponding articles for more details about these reactions.

In the end, let’s put together a scheme summarizing the regiochemical outcome of the three methods for the hydration of alkenes:

 

 

 

Practice

1.

Predict the product for each acid-catalyzed hydration of the alkene reaction. Draw the curved arrow mechanism to support your answer and keep in mind the possibility of rearrangements that occur during the addition of water to alkenes.

a)
Answer

This content is for registered users only.

Click here to Register!

By joining Chemistry Steps, you will gain instant access to the answers and solutions for all the Practice Problems, including over 40 hours of problem-solving videos, Multiple-Choice Quizzes, Puzzles, Reaction Maps, and the powerful set of Organic Chemistry 1 and 2 Summary Study Guides.

b)
Answer

This content is for registered users only.

Click here to Register!

By joining Chemistry Steps, you will gain instant access to the answers and solutions for all the Practice Problems, including over 40 hours of problem-solving videos, Multiple-Choice Quizzes, Puzzles, Reaction Maps, and the powerful set of Organic Chemistry 1 and 2 Summary Study Guides.

c)
Answer

This content is for registered users only.

Click here to Register!

By joining Chemistry Steps, you will gain instant access to the answers and solutions for all the Practice Problems, including over 40 hours of problem-solving videos, Multiple-Choice Quizzes, Puzzles, Reaction Maps, and the powerful set of Organic Chemistry 1 and 2 Summary Study Guides.

d)
Answer

This content is for registered users only.

Click here to Register!

By joining Chemistry Steps, you will gain instant access to the answers and solutions for all the Practice Problems, including over 40 hours of problem-solving videos, Multiple-Choice Quizzes, Puzzles, Reaction Maps, and the powerful set of Organic Chemistry 1 and 2 Summary Study Guides.

Solution

This content is for registered users only.

Click here to Register!

By joining Chemistry Steps, you will gain instant access to the answers and solutions for all the Practice Problems, including over 40 hours of problem-solving videos, Multiple-Choice Quizzes, Puzzles, Reaction Maps, and the powerful set of Organic Chemistry 1 and 2 Summary Study Guides.

2.

Predict the product for each oxymercuration-demercuration reaction with the correct stereochemistry where needed:

 

Answer

This content is for registered users only.

Click here to Register!

By joining Chemistry Steps, you will gain instant access to the answers and solutions for all the Practice Problems, including over 40 hours of problem-solving videos, Multiple-Choice Quizzes, Puzzles, Reaction Maps, and the powerful set of Organic Chemistry 1 and 2 Summary Study Guides.

3.

Answer

This content is for registered users only.

Click here to Register!

By joining Chemistry Steps, you will gain instant access to the answers and solutions for all the Practice Problems, including over 40 hours of problem-solving videos, Multiple-Choice Quizzes, Puzzles, Reaction Maps, and the powerful set of Organic Chemistry 1 and 2 Summary Study Guides.

4.

Answer

This content is for registered users only.

Click here to Register!

By joining Chemistry Steps, you will gain instant access to the answers and solutions for all the Practice Problems, including over 40 hours of problem-solving videos, Multiple-Choice Quizzes, Puzzles, Reaction Maps, and the powerful set of Organic Chemistry 1 and 2 Summary Study Guides.

5.

Answer

This content is for registered users only.

Click here to Register!

By joining Chemistry Steps, you will gain instant access to the answers and solutions for all the Practice Problems, including over 40 hours of problem-solving videos, Multiple-Choice Quizzes, Puzzles, Reaction Maps, and the powerful set of Organic Chemistry 1 and 2 Summary Study Guides.

Solution

This content is for registered users only.

Click here to Register!

By joining Chemistry Steps, you will gain instant access to the answers and solutions for all the Practice Problems, including over 40 hours of problem-solving videos, Multiple-Choice Quizzes, Puzzles, Reaction Maps, and the powerful set of Organic Chemistry 1 and 2 Summary Study Guides.

6.

Predict the product for reactions (a) – (b) if an acid-catalyzed hydration had been performed rather than
an oxymercuration-demercuration:

a)
Answer

b)
Answer

This content is for registered users only.

Click here to Register!

By joining Chemistry Steps, you will gain instant access to the answers and solutions for all the Practice Problems, including over 40 hours of problem-solving videos, Multiple-Choice Quizzes, Puzzles, Reaction Maps, and the powerful set of Organic Chemistry 1 and 2 Summary Study Guides.

c)
Answer

This content is for registered users only.

Click here to Register!

By joining Chemistry Steps, you will gain instant access to the answers and solutions for all the Practice Problems, including over 40 hours of problem-solving videos, Multiple-Choice Quizzes, Puzzles, Reaction Maps, and the powerful set of Organic Chemistry 1 and 2 Summary Study Guides.

d)
Answer

This content is for registered users only.

Click here to Register!

By joining Chemistry Steps, you will gain instant access to the answers and solutions for all the Practice Problems, including over 40 hours of problem-solving videos, Multiple-Choice Quizzes, Puzzles, Reaction Maps, and the powerful set of Organic Chemistry 1 and 2 Summary Study Guides.

Solution

This content is for registered users only.

Click here to Register!

By joining Chemistry Steps, you will gain instant access to the answers and solutions for all the Practice Problems, including over 40 hours of problem-solving videos, Multiple-Choice Quizzes, Puzzles, Reaction Maps, and the powerful set of Organic Chemistry 1 and 2 Summary Study Guides.

7.

Draw a plausible mechanism for the following synthesis:

Answer

This content is for registered users only.

Click here to Register!

By joining Chemistry Steps, you will gain instant access to the answers and solutions for all the Practice Problems, including over 40 hours of problem-solving videos, Multiple-Choice Quizzes, Puzzles, Reaction Maps, and the powerful set of Organic Chemistry 1 and 2 Summary Study Guides.

8.

Determine the product(s) in each hydroboration-oxidation reaction of alkenes:

Answer

This content is for registered users only.

Click here to Register!

By joining Chemistry Steps, you will gain instant access to the answers and solutions for all the Practice Problems, including over 40 hours of problem-solving videos, Multiple-Choice Quizzes, Puzzles, Reaction Maps, and the powerful set of Organic Chemistry 1 and 2 Summary Study Guides.

Solution

This content is for registered users only.

Click here to Register!

By joining Chemistry Steps, you will gain instant access to the answers and solutions for all the Practice Problems, including over 40 hours of problem-solving videos, Multiple-Choice Quizzes, Puzzles, Reaction Maps, and the powerful set of Organic Chemistry 1 and 2 Summary Study Guides.

9.

Determine the product(s) in each hydroboration-oxidation reaction of alkenes, including the stereochemistry of the product:

Answer

This content is for registered users only.

Click here to Register!

By joining Chemistry Steps, you will gain instant access to the answers and solutions for all the Practice Problems, including over 40 hours of problem-solving videos, Multiple-Choice Quizzes, Puzzles, Reaction Maps, and the powerful set of Organic Chemistry 1 and 2 Summary Study Guides.

Solution

This content is for registered users only.

Click here to Register!

By joining Chemistry Steps, you will gain instant access to the answers and solutions for all the Practice Problems, including over 40 hours of problem-solving videos, Multiple-Choice Quizzes, Puzzles, Reaction Maps, and the powerful set of Organic Chemistry 1 and 2 Summary Study Guides.

10.

This set of practice problems covers the regiochemistry of addition sections to alkenes as well as the elimination reactions, which are necessary to move the position of a leaving group or the double bond of the alkene. 

Feel free to check the corresponding articles before attempting these problems.

Identify the reagents you would use to change the position of the leaving group in each of the following alkenes:

 

 

Answer

This content is for registered users only.

Click here to Register!

By joining Chemistry Steps, you will gain instant access to the answers and solutions for all the Practice Problems, including over 40 hours of problem-solving videos, Multiple-Choice Quizzes, Puzzles, Reaction Maps, and the powerful set of Organic Chemistry 1 and 2 Summary Study Guides.

11.

Answer

This content is for registered users only.

Click here to Register!

By joining Chemistry Steps, you will gain instant access to the answers and solutions for all the Practice Problems, including over 40 hours of problem-solving videos, Multiple-Choice Quizzes, Puzzles, Reaction Maps, and the powerful set of Organic Chemistry 1 and 2 Summary Study Guides.

12.

Answer

This content is for registered users only.

Click here to Register!

By joining Chemistry Steps, you will gain instant access to the answers and solutions for all the Practice Problems, including over 40 hours of problem-solving videos, Multiple-Choice Quizzes, Puzzles, Reaction Maps, and the powerful set of Organic Chemistry 1 and 2 Summary Study Guides.

13.

Answer

This content is for registered users only.

Click here to Register!

By joining Chemistry Steps, you will gain instant access to the answers and solutions for all the Practice Problems, including over 40 hours of problem-solving videos, Multiple-Choice Quizzes, Puzzles, Reaction Maps, and the powerful set of Organic Chemistry 1 and 2 Summary Study Guides.

Solution

This content is for registered users only.

Click here to Register!

By joining Chemistry Steps, you will gain instant access to the answers and solutions for all the Practice Problems, including over 40 hours of problem-solving videos, Multiple-Choice Quizzes, Puzzles, Reaction Maps, and the powerful set of Organic Chemistry 1 and 2 Summary Study Guides.

14.

Complete the following synthesis by adding the missing reagent(s) for each step and the structures for compounds A and B:

 

Answer

This content is for registered users only.

Click here to Register!

By joining Chemistry Steps, you will gain instant access to the answers and solutions for all the Practice Problems, including over 40 hours of problem-solving videos, Multiple-Choice Quizzes, Puzzles, Reaction Maps, and the powerful set of Organic Chemistry 1 and 2 Summary Study Guides.

15.

Complete the following synthesis by adding the missing reagent(s) for each step and the structures for compound A and B:

Answer

This content is for registered users only.

Click here to Register!

By joining Chemistry Steps, you will gain instant access to the answers and solutions for all the Practice Problems, including over 40 hours of problem-solving videos, Multiple-Choice Quizzes, Puzzles, Reaction Maps, and the powerful set of Organic Chemistry 1 and 2 Summary Study Guides.

16.

Complete the following synthesis by adding the missing reagent(s) for each step and the structures for compound A and B:

Answer

This content is for registered users only.

Click here to Register!

By joining Chemistry Steps, you will gain instant access to the answers and solutions for all the Practice Problems, including over 40 hours of problem-solving videos, Multiple-Choice Quizzes, Puzzles, Reaction Maps, and the powerful set of Organic Chemistry 1 and 2 Summary Study Guides.

17.

Complete the following synthesis by adding the missing reagent(s) for each step and the structures for compound A and B:

Answer

This content is for registered users only.

Click here to Register!

By joining Chemistry Steps, you will gain instant access to the answers and solutions for all the Practice Problems, including over 40 hours of problem-solving videos, Multiple-Choice Quizzes, Puzzles, Reaction Maps, and the powerful set of Organic Chemistry 1 and 2 Summary Study Guides.

Solution

This content is for registered users only.

Click here to Register!

By joining Chemistry Steps, you will gain instant access to the answers and solutions for all the Practice Problems, including over 40 hours of problem-solving videos, Multiple-Choice Quizzes, Puzzles, Reaction Maps, and the powerful set of Organic Chemistry 1 and 2 Summary Study Guides.

18.

Complete the following synthesis by adding the missing reagent(s) for each step and the structures for compound A and B:

Answer

This content is for registered users only.

Click here to Register!

By joining Chemistry Steps, you will gain instant access to the answers and solutions for all the Practice Problems, including over 40 hours of problem-solving videos, Multiple-Choice Quizzes, Puzzles, Reaction Maps, and the powerful set of Organic Chemistry 1 and 2 Summary Study Guides.

Solution

This content is for registered users only.

Click here to Register!

By joining Chemistry Steps, you will gain instant access to the answers and solutions for all the Practice Problems, including over 40 hours of problem-solving videos, Multiple-Choice Quizzes, Puzzles, Reaction Maps, and the powerful set of Organic Chemistry 1 and 2 Summary Study Guides.

Share Your Thoughts, Ask that Question!

Stuck? Need a Quick Guidance?

🔴 Our Live Board is Here! 🖥️✏️