Let’s understand the most common words you have been hearing the past couple of days that will last towards the end of the semester: Substitution and Elimination Reactions
So, what are we substituting and eliminating?
These terms refer to the halogen and a hydrogen atom in alkyl halides.
Here is what you can have in mind for a general representation of substitution and elimination reactions:
1) Substitution: The halogen is replaced by the nucleophile
2) Elimination: The halogen is removed from the alkyl halide (electrophile) together with an adjacent hydrogen

Notice that we named the alkyl halide “an electrophile”, and we can see that it reacts with a nucleophile and a base. So, why do we call them electrophiles, and why do they react with electron-rich species such as nucleophiles and bases?
Recall that halogens are more electronegative than carbon; therefore, the carbon-halogen bond is a polar covalent bond. This means the carbon connected to the halogen is electron-deficient, and that’s why we put a partial positive charge on it:

So, for a general picture, visualize alkyl halides as species where we have a positive center. To be more scientific, we call this an electrophilic center – a center/atom that likes/wants electrons. Because of this, alkyl halides are known as electrophiles.
These electrons are provided by the nucleophiles or the base, as these are electron-rich species with a lone pair(s) of electrons, that can also be negatively charged (recall formal charges):

This, by far, is not the complete list of nucleophiles and bases you will see in your organic chemistry class, so feel free to check this article for a larger list of these species.
So, in a simple scheme (which, by the way, is what it boils down to no matter how deep we go into the topic), the cause of substitution and elimination reactions (and most chemical reactions) is the electronic attractive forces that are caused by the polar nature of certain bonds in the molecule.
Electrophiles are the “positives “+”, and they react with the “negatives”, which are the nucleophiles and bases.
For example, even if you have never heard the terms substitution and elimination reactions, you may have a good shot guessing what atoms will be attracted if we mix, let’s 2-bromobutane with a thiolate ion (R–S⁻), such as ethanethiolate:

Yes, you are absolutely right, the negatively charged sulfur is going to attack the carbon with a partial positive charge.
Now, by doing so, it provides electrons to the carbon, which means it is making a new covalent bond. So, what do you think is going to happen to the carbon? Is it going to have five bonds (don’t forget about omitted hydrogens in bond line structures)?

We know that carbon cannot have five bonds, so to make this bond, it must break one of the four bonds that the carbon already has, and it turns out, the easiest is the one with the halogen:

The reason for this selective kick out of halogen is that, once again, they are more electronegative than carbon, thus can better handle the electrons of the C-halogen bond that they take with them:

In a more organic chemistry language, we say that they are a better leaving group than a negatively charged carbon or hydrogen would have been because they stabilize the negative charge better. Recall, the concept of acid-base chemistry – the H-Br bond dissociates incomparably better than any C-H bond because the resulting halide ion is quite stable and can handle the negative charge.
And just like this, we have shown what is called an SN2 substitution reaction, where the nucleophile attacks and kicks out the leaving group. This substitution reaction of 2-bromobutane with ethyl thiolate was an example of an SN2 substitution reaction:

To read more about good and weak nucleophiles, as well as what makes a good leaving group, refer to the article dedicated to the SN2 mechanism here.
Let’s now see what types of substitution and elimination reactions there are and how they work.
There are two main types of substitution and elimination reactions:
1) When the nucleophile and base are very reactive (read aggressive), they attack the alkyl halide right away. These are the SN2 substitution and E2 elimination reactions.
2) When the nucleophile and base are weak, they don’t die to attack the alkyl halide. These are the SN1 and E1 reactions.
The SN2 Substitution Reaction
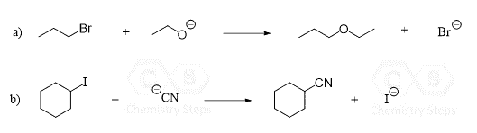
We have seen by the example of the reaction between 2-bromobutane and ethanethiolate that in SN2 reactions, the strong/good nucleophiles attack the carbon with a partial positive charge to make a new bond, and the C–X bond of the halogen breaks at the same time, making the halide ion a leaving group. Here are some more examples of SN2 nucleophilic substitution reactions:

Notice that when the halogen is connected to a chiral center, the configuration of that center changes from R to S and vice versa. This is what we call an inversion of configuration, which is a key characteristic feature of the SN2 mechanism that sets it apart from the SN1 mechanism, which we will discuss in a little bit.

Another characteristic of the SN2 reaction is that the nucleophilic attack and the loss of the leaving group happen simultaneously. These types of mechanisms are known as concerted mechanisms.
There are more details and nuances to each of the substitution and elimination reactions that we overviewed today. We cannot cover all of this in one, so check the linked articles for more details, mechanisms, examples, and practice problems for each mechanism.
The E2 Elimination Mechanism
Although E2 is an elimination reaction, it is closer to the SN2 substitution mechanism than SN1 is. Both SN2 and E2 are concerted, bimolecular mechanisms – meaning the all the bond breaking and making happen at the same time, and both the nucleophile/base and alkyl halide (substrate in general) participate in the rate-determining step.
Here is a comparison of an SN2 and E2 reaction that 2-bromobutane undergoes when reacted with a thiolate and alkoxide ion:

The key difference is that in the E2 reaction, the electron-rich species, which is a base as it removes the halogen with a hydrogen, attacks the neighboring hydrogen instead of the electrophilic carbon.
The driving force, or at least a significant contributor to it, is still the electrophilic nature of the carbon that now takes the electrons of the C–H bond, instead of those of the nucleophile in the SN2 mechanism.
The SN1 Mechanism
At the beginning of this discussion, we mentioned that substitution and elimination reactions can be divided into two groups depending on whether a strong or weak nucleophile/base is used.
The ones we have seen so far are good nucleophiles and strong bases, and as mentioned earlier, they are very reactive and attack the electrophile right away as it is.
On the other hand, if we have a weak nucleophile or a base, which is most often water and alcohols, the reaction between them and the electrophile does not occur right away. They are not so reactive and don’t attack the electrophile unless the latter becomes more reactive.
So, how does the alkyl halide become more reactive?
This happens by loss of the leaving group, which forms a carbocation intermediate. Notice that in carbocations, the carbon lacks an octet and has an actual positive charge compared to the partial positive charge in the alkyl halides.

So, as the nucleophile is weak and lazy to attack the electrophile, the latter ionizes by breaking the carbon–halogen bond to form a carbocation intermediate. Once the carbocation is formed, the nucleophile then attacks it, forming a new C–Nu bond. For example, this is how tertiary alkyl halides 1-iodo-1-methylcyclohexane and tert-butyl bromide react with NaCl and water, respectively:

So, what do we see? First, unlike the SN2, the SN1 mechanism is a stepwise process: first, loss of a leaving group, and only after that a nucleophilic attack.
The E1 Elimination
The E1 mechanism is closer to the SN1 mechanism because, like we saw in the comparison between the SN2 and E2 reactions, instead of attacking the electrophilic carbon, attacks a β-hydrogen, forming an alkene as the final product:

Very often, a mixture of products is formed, and there is no universal, clear-cut cut between the E1 and SN1 reactions. For example, the ratio of the alkene and alcohol formed in the reaction shown above will depend, for example, on the temperature.
Check this article for a more detailed comparison of SN1 and E1 reactions.
Summarizing the Overview of Substitution and Elimination Reactions
Substitution and elimination reactions are two of the most important types of reactions in organic chemistry, especially in the Organic Chemistry 1 course. These reactions occur on alkyl halides, which, in a general description, are referred to as the substrate.
- In a substitution reaction, the halogen is replaced by another group, which is the nucleophile that attacks the electrophilic carbon.
- In an elimination reaction, the halogen and a neighboring hydrogen are removed, resulting in the formation of a double bond.
Substitution and elimination reactions can follow different mechanisms, depending on the strength of the nucleophile or base involved, as well as the structure of the alkyl halide.
- SN2 and E2 reactions occur with strong nucleophiles and bases and proceed in a single, concerted step.
- SN1 and E1 reactions involve weaker nucleophiles or bases and proceed through a carbocation intermediate in a stepwise manner.
Each of these mechanisms has its own set of rules, trends, and exceptions. While this post provides a broad overview, there are many nuances, details, and variations that we can’t cover all at once. For a deeper understanding, including examples, step-by-step mechanisms, and practice problems, be sure to explore the linked articles on each reaction type.
Check Also
- Introduction to Alkyl Halides
- Nomenclature of Alkyl Halides
- Nucleophilic Substitution Reactions – An Introduction
- All You Need to Know About the SN2 Reaction Mechanism SN2 Mechanism: Kinetics, Thermodynamics, Curved Arrows, and Stereochemistry with Practice Problems
- The Stereochemistry of SN2 Reactions
- Stability of Carbocations
- The SN1 Nucleophilic Substitution Reaction
- Reactions of Alkyl Halides with Water
- The Stereochemistry of the SN1 Reaction Mechanism
- The SN1 Mechanism: Kinetics, Thermodynamics, Curved Arrows, and Stereochemistry with Practice Problems
- The Substrate and Nucleophile in SN2 and SN1 Reactions
- Carbocation Rearrangements in SN1 Reactions with Practice Problems
- Ring Expansion Rearrangements
- Ring Contraction Rearrangements
- When Is the Mechanism SN1 or SN2?
- Reactions of Alcohols with HCl, HBr, and HI Acids
- SOCl2 and PBr3 for Conversion of Alcohols to Alkyl Halides
- Alcohols in SN1 and SN2 Reactions
- How to Choose Molecules for Doing SN2 and SN1 Synthesis-Practice Problems
- Exceptions in SN2 and SN1 Reactions
- SN1 vs E1 Reactions
- Nucleophilic Substitution and Elimination Practice Quiz
- Reactions Map of Alkyl Halides
The Elimination Reactions can be found on the Organic Chemistry 1 and 2 Topics page.









