Alcohols can be prepared from carbonyl compounds such as aldehydes, ketones, esters, acid chlorides, and even carboxylic acids by hydride reductions. These reductions are a result of a net addition of two hydrogen atoms to the C=O bond:

The most common hydride reducing agents are the lithium aluminum hydride (LiAlH4), also abbreviated as LAH, and sodium borohydride (NaBH4):

The principle behind the hydride reducing agents is the presence of a polar covalent bond between a metal and hydrogen. Because of higher electronegativity, the hydrogen bears higher electron density, which eventually makes it react as a hydride ion:

For example, the Al-H bond in LiAlH4 is so polar that it has a nearly ionic character, leaving the hydrogen as a hydride ion, which is very reactive both as a base and a nucleophile:

The hydride ion reacts with the carbonyl group, which, in turn, is also a polar covalent bond, and the presence of the π bond makes the addition of H– possible:

LiAlH4 is one of the most powerful reducing agents, efficiently working for any carbonyl and some other functional groups as well.
This high reactivity of the hydride ion in LiAlH4 makes it incompatible with protic solvents. For example, it reacts violently with water and therefore, LiAlH4 reductions are carried out in dry solvents such as anhydrous ether and THF.
NaBH4, on the other hand, is not so reactive and can be used, for example, in a selective reduction of aldehydes and ketones in the presence of an ester:

Notice that LiAlH4 and NaBH4 reduce aldehydes and ketones to primary and secondary alcohols, respectively. Esters, on the other hand, are converted to primary alcohols by LiAlH4.
LiAlH4 Reduction of Aldehydes and Ketones – The Mechanism
As mentioned earlier, both reagents function as a source of hydride (H−), which acts as a nucleophile attacking the carbon of the carbonyl C=O bond, and in the second step, the resulting alkoxide ion is protonated to form an alcohol.
There are, however, some differences depending on the reagent, and to address those, let’s start with the mechanism of LiAlH4 Reduction:

The hydride addition to the carbonyl is also catalyzed by the lithium ion, which serves as a Lewis acid by coordinating to the carbonyl oxygen. This decreases the electron density on the oxygen, thus making the C=O bond more susceptible to a nucleophilic attack.
The resulting alkoxide salt can react with the AlH3 and convert it to another source of hydride. However, for simplicity, most often we show only one addition to the carbonyl followed by a protonation of the alkoxide with water or aqueous acidic solution,s which gives the final product alcohol.
NaBH4 Reduction of Aldehydes and Ketones – The Mechanism
Sodium borohydride reduces aldehydes and ketones by a similar mechanism, with some important differences that we need to mention.
First, NaBH4 is not so reactive, and the reaction is usually carried out in protic solvents such as ethanol or methanol. The solvent has two functions here:
1) It serves as the source of a proton (H+) once the reduction is complete
2) The sodium ion is a weaker Lewis acid than the lithium ion and, in this case, the hydrogen bonding between the alcohol and the carbonyl group serves as a catalyst to activate the carbonyl group:

Because NaBH4 is not very reactive, it is not strong enough to react with esters. And this also has to do with the reactivity of the ester as well. In general, aldehydes and ketones are the most reactive carbonyl compounds (after acid chlorides, which are only used as reagents and not final products because of their reactivity).
We have also seen this in the Grignard reaction. Aldehydes and ketones are more reactive than esters since the electrophilicity of the carbon atom of the ester is partially suppressed by the lone pair of the oxygen through resonance stabilization:

Because of the resonance stabilization, the C=O carbon atom in the esters is not electrophilic, and NaBH4, being not very reactive, is unable to attack it.
That is about the relationship between NaBH4 and ester. Let’s now see how the reduction of esters by LiAlH4 works.
The Mechanism of LiAlH4 Reduction of Esters
The reduction of an ester to an alcohol requires two hydride additions to the carbonyl group and, therefore, an excess of LiAlH4 is used:

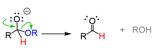
This is because the tetrahedral intermediate formed after the first hydride addition contains a leaving group, which is kicked out, re-forming the carbonyl group:

The newly formed carbonyl group is an aldehyde, and it is more reactive than the ester; thus is attacked one more time by LiAlH4:

This, again, is very similar to what we saw in the Grignard reaction of esters. Yes, the methoxide ion is not a great leaving group, as we know from E2 or SN2 reactions. However, it is still a weaker base than the hydride ion, and in addition, the tetrahedral intermediate with two oxygens and a negative charge is highly unstable, and it is energetically favorable to expel the methoxide.
The Mechanism of LiAlH4 Reduction of Carboxylic Acids
The reduction of carboxylic acids also requires an excess of LiAlH4. The first reaction between a carboxylic acid and LiAlH4 is simply a Brønsted–Lowry acid-base reaction:

The resulting carboxylate is almost unreactive because of the high electron density, and this is why the reduction of carboxylic acids is more difficult and requires more forcing conditions. One good alternative to this is the use of borane, which is only efficient for the reduction of carboxylic acids and amides.
Back to the LiAlH4. Despite the low reactivity of the carboxylate ion, the hydride addition does occur:

The negatively-charged oxygen is then converted into a leaving group by coordinating to aluminum. This is kicked out by the lone pairs of the other oxygen, restoring the C=O π bond, and the resulting aldehyde is reduced just like we have seen above.
The Stereochemistry of LiAlH4 and NaBH4 Reduction
The reduction of unsymmetrical ketones with LiAlH4 or NaBH4 produces a pair of stereoisomers because the hydride ion can attack either face of the planar carbonyl group:

If no other chiral center is present, the product is a racemic mixture of enantiomers.
Alcohols from Catalytic Hydrogenation
Another common method for preparing alcohols from aldehydes and ketones is the catalytic hydrogenation:

Remember, catalytic hydrogenation was the method for reducing alkynes to alkenes or alkanes, depending on the specific reagent. And this is the reason why hydride reductions using LiAlH4 and NaBH4 are preferred when multiple functional groups are present in the molecule.
For example, performing catalytic hydrogenation of the following unsaturated aldehydes and ketones reduces the C=C bond together with the carbonyl, while LiAlH4 and NaBH4 leave it intact, and only the carbonyl group is converted to an alcohol.
A Summary of Alcohol Reducing Reagents
In addition to LiAlH4 and NaBH4, there are hundreds of different hydride reducing agents designed for specific scenarios and combinations of functional groups in the molecule. They all have their advantages and disadvantages. It is impossible to address this in a single article, and most of them are beyond the scope of most undergraduate programs.
However, below is a summary chart for the carbonyl reductions to alcohols that you likely need to know:

Once you learn these, go to the following practice problems for the reduction of carbonyl compounds to alcohols:
Alcohols from Carbonyl Reductions – Practice Problems




Esters are also reduced by NaBH4. See https://gaussling.wordpress.com/2007/04/07/nabh4-reduction-of-esters/ and references therein.
Good chemistry
Good
Hydride ion does not reduce aldehydes and ketones.It acts more like a base than like a nucleophile.
Its the bond(B-H) that is involving
The metal hydrides cannot be used to reduce aldehyde/ketone since hydride ion acts like a base
Its the NaBH4 that makes “hydride transfer”
Simple hydrides such as NaH indeed act as bases, but we have not mentioned them here. The Al-H and B-H bonds are covalent and “H-” is shown in the simplified mechanisms.