What is the R and S Configuration, and why do we need it?
If we name these two alkyl halides based on the IUPAC nomenclature rules, we get the name as 2-chlorobutane for both:

However, they don’t look exactly the same as the Cl atom points in different directions – wedge and dash. These molecules are not the same compound – they are non-superimposable mirror images which are known as enantiomers:

The problem with the wedge and dash notation is that it is not a universal approach and quickly loses validity when we simply look at the molecule from the opposite direction:

So, we need an extra piece of information to distinguish enantiomers (and other stereoisomers) by their names properly addressing the stereochemistry as well.
Cahn, Ingold, and Prelog developed a system that, regardless of the direction we are looking at the molecule, will always give the same name (unlike the wedge and dash notation).
And that is why this is also known as the absolute Configuration or most commonly referred to as the R and S system.
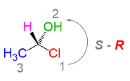
Let’s see how it works by looking first at the following molecule and we will get back to the 2-chlorobutane after that:

Assigning R and S Configuration: Steps and Rules
To assign the absolute configuration, we need to first locate the carbon(s) with four different groups (atoms) connected to it. These are called chirality centers (chiral center, stereogenic center).
In our molecule, we only have one carbon with four different groups and that is the one with the bromine and we are going to assign the absolute configuration of this chiral center.

For this, you need to follow the steps and rules of the Cahn-Ingold-Prelog system.
Step 1:
Give each atom connected to the chiral center a priority based on its atomic number. The higher the atomic number, the higher the priority.
So, based on this, bromine gets priority one, the oxygen gets priority two, the methyl carbon is the third and the hydrogen is the lowest priority-four:

Step 2:
Draw an arrow starting from priority one and going to priority two and then to priority 3:

If the arrow goes clockwise, like in this case, the absolute configuration is R.
As opposed to this, if the arrow goes counterclockwise then the absolute configuration is S.
As an example, in the following molecule, the priorities go Cl > N > C > H, and the counterclockwise direction of the arrow indicates an S absolute configuration:

So, remember: Clockwise – R, Counterclockwise – S.
Now, let’s see what would be the absolute configuration of the enantiomer:

The priorities are still the same since all the groups around the carbon are the same. Starting from the bromine and going to the oxygen and then the carbon, we can see that this time the arrow goes counterclockwise. If the arrow goes counterclockwise, the absolute configuration is S.

And this is another important thing to remember:
All the chirality centers in enantiomers are inverted (every R is S, every S is R in the enantiomer).
So, we discussed the roles of priorities 1, 2, and 3 but what about the lowest priority? We did not mention anything about the arrow going to it. Is it part of the game and how do you use it?
The lowest priority does not affect the direction of the arrow. However, this is very important, and it is a requirement when assigning the R and S configuration, that;
The lowest priority must point away from the viewer.
In other words, the lowest priority must be a dashed line to assign the R and S based on the direction of the arrow as we just did:

With that in mind, how can we assign the absolute configuration of this molecule where the hydrogen is a wedge line pointing toward us?
R and S When the lowest priority is a wedge

You have two options here:
Option one. Turn the molecule 180o such that the hydroxyl is now pointing towards you and the hydrogen is pointing away. This allows to have the molecule drawn as needed – the lowest priority pointing backward as it is supposed to be for determining the R and S configuration:

Next, assign the priorities; chlorine-number one, oxygen-two, carbon-three, and the H as number four.

The arrow goes clockwise, therefore the absolute configuration is R.
The problem with this approach is that sometimes you will work with larger molecules and it is impractical to redraw the entire molecule and swap every single chirality center.
For example, look at biotin with all these hydrogens pointing forward. Not the best option to redraw this molecule changing all the hydrogens and keeping the rest of the molecule as it should be.

This is why we have the second approach which is what everyone normally follows.
Here, you leave the molecule as it is with the hydrogen pointing towards you. Continue as you would normally do by assigning the priorities and drawing the arrow.

The only thing you have to do at the end is change the result from R to S or from S to R.
In this case, the arrow goes counterclockwise but because the hydrogen is pointing towards us, we change the result from S to R.
Of course, either approach should give the same result as this is the same molecule drawn differently.

R and S When Group #4 is not a Wedge or a Dash
There is a third possibility for the position of group 4 and that is when it is neither pointing away or towards you. This means we cannot determine the configuration as easily as if the lowest priority was pointing towards or away from us, and then switch it at the end as we did when group 4 was a wedge line.
As an example, what would be the configuration of this molecule?

For this, there is this simple yet such a useful trick making life a lot easier. Remember it:
Swapping any two groups on a chiral center inverts its absolute configuration (R to S, S to R):

Notice that these are different molecules. We are not talking about rotating about an axis or a single bond, in which case the absolute configuration(s) must stay the same. We are actually converting to a different molecule by swapping the groups to make it easier to determine the R and S configuration.
Let’s do this on the molecule mentioned above:

The lowest priority group is in the drawing plane, so what we can do is swap it with the one that is pointing away from us (Br). After determining the R and S we switch the result since swapping means changing the absolute configuration and we need to switch back again.

The arrow goes counterclockwise indicating S configuration and this means in the original molecule it is R.
Alternatively, which is more time-consuming, you can draw the Newman projection of the molecule looking from the angle that places group 4 in the back (pointing away from the viewer):

The lowest priority group is pointing and therefore, the clockwise direction of the arrow indicates an R configuration.
These two articles will be very helpful when dealing with stereochemistry in Newman projections:
- R and S configuration on Newman projections
- Converting Bond-Line, Newman Projection, and Fischer Projections
R and S when Atoms (groups) are the same
Sometimes it happens that two or more atoms connected to the chiral center are the same and it is not possible to assign the priorities right away.
For example, let’s go back to the 2-chlorobutane starting with the wedge chlorine:

Chlorine is the first priority, then we have two carbons and a hydrogen which gets the lowest priority. We need to determine the second priority comparing two carbon atoms and there is a tie since they both (obviously) have the same atomic number.
What do you do? You need to look at the atoms connected to the ones you compare:

The carbon on the left (CH3) is connected to three hydrogens, while the one on the right is connected to two hydrogens and one carbon. This extra carbon gives the second priority to the CH2 and the CH3 gets priority three.
The arrow goes clockwise, so this is the (R)-2-chlorobutane.
And if these atoms were identical as well, we’d have to move farther away from the chiral center and repeat the process until we get to the first point of difference.
It is like layers: the first layer is the atoms connected to the chiral center and you are comparing those and only move to the second layer if there is a tie.

You should never compare any atom of the second layer to a first layer atom regardless of its atomic number. For example, in the following molecule, layer 1 is a tie so we proceed to layer 2 which gives the priority to the carbon connected to the chiral center on the left since it has an oxygen connected to it.

So, we do not compare layers 2 and 3 which would’ve given the priority to the carbon with a Br since Br has a higher atomic number than oxygen. Because the oxygen is connected to a carbon closer to the chiral center, it gives the priority to that carbon regardless of what is connected to the carbon atoms on the next layer:

Double and triple bonds in the R and S configurations
Let’s do the R and S for this molecule:

Bromine is the priority and the hydrogen is number four. Carbon “a” is connected to one oxygen and two hydrogens. Carbon “b” is connected to one oxygen and one hydrogen. However, because of the double bond, carbon “b” is treated as if it is connected to two oxygens. The same rule is applied for any other double or triple bond. So, when you see a double bond count it as two single bonds when you see a triple bond cut it as three single bonds.
The arrow goes clockwise, however, the absolute configuration is S, because the hydrogen is pointing towards us.
More Tricks in the R and S configurations
- What if you are comparing two carbons; one connected to three high-atomic number elements, and the other one with two hydrogens and a heteroatom. Which one gets a higher priority?
Let’s see this with this molecule:

Even if only one atom has a higher atomic number than the highest one on the other carbon, the group gets higher priority.
So, one S beats N, O, F because it has a higher atomic number than the others individually.

- Carbon is not the only atom designated by R and S. In theory, any atom with four different groups is chiral and can be described by the R and S system. For example, phosphorous and sulfur chiral centers are often assigned as R or S.

- Hydrogen is not always the lowest priority. A lone pair of electrons is lower.

- Carbanions are achiral because the lone pair rapidly flips from one side to another unless at very low temperatures:

- R and S do not apply to the nitrogen in amines for the same reason as for carbanions. Quaternary ammonium groups, however, can be chiral.

- The same element can get different priorities based on its isotopes. For example, tritium atom has a higher priority than deuterium: T > D > H
A recent article in Nature (https://www.nature.com/articles/s41586-023-05719-z) shows the first synthesis of compounds containing a chiral oxygen which unlike nitrogen, phosphorus, and sulfur does not undergo pyramidal inversion:

The presented triaryl oxonium ions are unique structures as the framework of the rings prevents the inversion of the oxygen lone pair through geometric restriction.
And this should cover most possibilities that I can think of about R and S configurations.
Let me know in the comments if there are any other tips and tricks you would like to be mentioned.
Practicing R and S is never too much. This 1.5-hour video is a collection of examples taken from the multiple choice quizzes determining the R and S configuration in the context of naming compounds, determining the relationship between compounds, and chemical reactions.
This content is for registered users only.
By joining Chemistry Steps, you will gain instant access to the answers and solutions for all the Practice Problems, including over 40 hours of problem-solving videos, Multiple-Choice Quizzes, Puzzles, Reaction Maps, and the powerful set of Organic Chemistry 1 and 2 Summary Study Guides.




Thanks for sharing this useful article for finding out the Absolute configuartion
Thank you
This was such a good article to explain things! A big thanku
Thanks for the kind words
Thanks for sharing this article we got a lot of help thanks❤️❤️❤️
Great to hear that, Ali.
I was wondering how the different layers were given priority, as my teacher did not cover that part but still expected us to know R or S configuration. Thanks for explaining it so well visually!
Glad it was helpful, Aron.
Thank you, it really help and Interesting
R and S do not apply to the nitrogen in amines for the same reason as for carbanions. Quaternary ammonium groups, however, can be chiral ( in the last example ).
In this section the lower priority group is in the plane , it should be below the plane . Then will it be a R- configuration?
It may be S-configuration , do check please.
Correct, the lower priority is the methyl group and it is in the plane. One option to make it appear in the back is to look at the molecule from the opposite direction of where the methyl is pointing – 10 o’clock. From there, the arrow would look like going clockwise based on the priorities assigned shown in the example, so the absolute configuration is R.
Thanks so much for the in-depth article and thorough treatment of techniques to approach chirality! It seems that our textbook just loves to share the basic principles but fails to help when things get sticky–leaving me to flounder on the trick exam questions! I feel much more confident about my knowledge of chirality after reading through your extremely thoughtful article.
Thank you for your feedback. It does take time to write the articles around the situations where I see students getting stuck in the class, and it is great to see it is helpful.
This is so understandable and straight forward. Thanks for the help, it’s really useful.
Thanks for the good feedback!
Bastante didático, parabéns.