We have seen, in the alpha halogenation and aldol condensation reactions, that enolates are good nucleophiles capable of attacking halogens and carbonyl groups.
In addition to these, enolates can also be alkylated when reacted with alkyl halides via SN2 mechanism:

Like any other SN2 reaction, the alkylation of enolates works best with 1o, 1o benzylic, and 1o allylic substrates. Secondary and tertiary substrates would mostly undergo an E2 elimination forming an alkene.
The alkylation works also with other functional groups such as esters, nitriles, and nitro compounds since they also have an acidic ɑ position:

Aldehydes, on the other hand, are problematic for alkylation because of the competing aldol condensation.
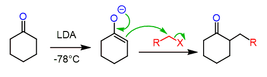
Regiochemistry of Enolate Alkylation
Unsymmetrical ketones can be alkylated on both sides depending on the base and the temperature. Alkylation of the less substituted carbon is achieved by using a sterically hindered base, and LDA is, by far, the most common base you are going to see being used for this purpose. The more substituted carbon is usually deprotonated by sodium hydride:

The less substituted enolate is the kinetic product (red pathway below) as seen from the lower activation energy (Ea) and therefore occurs faster.
The thermodynamic enolate (blue pathway) is the more stable enolate because of the more substituted C=C double bond.

For a symmetrical ketone, it wouldn’t matter which of these bases is used.
The only thing is to make sure a strong base is used. Sodium hydroxide and ethoxides don’t work here because the enolate is not formed irreversibly and self-condensation reactions can occur because there is still a lot of carbonyl present in the equilibrium mixture. This is especially true for aldehydes which tend to undergo aldol condensation a lot faster than ketones do.
And, as always, if you are ready to test your skills, here is a good set of comprehensive problems on alpha carbon chemistry and also a separate one for the alkylation of enolates:
Enolate Alkylation Practice Problems
Enolates in Organic Synthesis – a Comprehensive Practice Problem
