This is a 65-question multiple-choice quiz on Nucleophilic Substitution and Elimination reactions.
It comes with a detailed, 3-hour video solution addressing all the correct and incorrect answers!
Substitution and elimination reactions are perhaps the main and most challenging types of reactions we cover in a typical organic chemistry 1 course. This quiz is built to include the most important concepts encountered in this topic. You can test your knowledge on naming alkyl halides, understanding the kinetics of unimolecular (SN1, E1) and bimolecular (SN2, E2) reactions, recognizing common leaving groups, protic and aprotic solvents and their effect on the outcome of the reaction, choosing between SN1, E1, SN2, and E2 reaction, designing synthesis using a set of given substrates and reagents.
Each question comes with a hint and links to the relevant topic(s) that you can review before answering it.
A few representative examples from each of these sections are shown below.
What happens to the rate if the concentration of the RX is quadrupled and the concentration of the Nu is doubled?

- the rate of the reaction remains the same.
- the rate of the reaction is doubled.
- the rate of the reaction will be eight times faster.
- the rate of the reaction will be four times faster.
- the rate of the reaction will be six times faster.
Which of the following reactions will go at a faster rate?

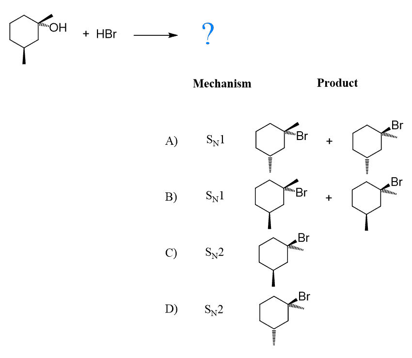
Determine the correct mechanism and the major product for the following reaction:

Determine the correct mechanism and the major product for the following reaction:

The following compound can be prepared by a nucleophilic substitution reaction. Identify the correct combination of the nucleophile and the substrate to achieve an efficient synthetic transformation:

The entire quiz with answers is available to Chemistry Steps’ registered users. As a CS user, you will also get access to the Organic Chemistry Study Guides, answers to all the practice problems, and all the quizzes.
Read more about the CS benefits and what other students have here.

The multiple-choice answers skipped B, so the answer options are A, C, D, E. The answer is D, but which D is that considered?
Hi Brittney,
Which question is this?
Question #9
Oh, I see. Just fixed it.
Check this post if you are just starting substitution reactions:
https://staging.chemistrysteps.com/nucleophilic-substitution-reactions-introduction/
On question 4 answers A and D are the same.
Thanks for pointing that out! Fixed.
For question 22, how do you know if it is E1 or E2 if the product is the same?
Hey Angie, welcome!
The product does not always indicate which mechanism the reaction goes through. SN1, SN2 can give the same product and E1, E2 may also do so since they are both substitution and elimination reactions.
The mechanism depends on the structure of the substrate and the reactant. In this case you need determine if tBuOK is strong or a weak base which will tell you if the reaction is unimolecular (SN1/E1) or bimolecular (SN2/E2).
Please refer to the summary guide for the competition between the substitution and elimination reactions. It should walk you through this process.
Thank you.
What is going on in 47?
That looks like a change of configuration if you redraw the molecule, so SN2?
How can I sure from my answers?