Skip to content
Chemistry Steps

Chemistry Steps

Chemistry Steps
  • Live Help
  • Topics
  • Study Guides
    • Reagent Guide 
  • Reaction Maps
  • Quizzes
  • Practice
  • CS Benefits
  • Log In
    • Register
Chemistry Steps
  • Live Help
  • Topics
  • Study Guides
    • Reagent Guide 
  • Reaction Maps
  • Quizzes
  • Practice
  • CS Benefits
  • Log In
    • Register

Alkanes and Cycloalkanes

IUPAC Nomenclature Practice Problems

by Dr. S. Gevorg

This is a set of practice problems on naming organic compounds. The examples cover the nomenclature of alkanes, bicyclic compounds, alkenes, alkynes, alcohols, alkyl halides, aromatic compounds, aldehydes and ketones, amines, ethers, and carboxylic acid derivatives such as nitriles, esters, … Read more

Categories Alkanes and Cycloalkanes Tags IUPAC Nomenclature 1 Comment

Naming Bicyclic Compounds

by Dr. S. Gevorg
Naming bicyclic compounds-summary

Before we start talking about naming bicyclic compounds, let’s first go over some terminology for their classification. Bicyclic compounds are a specific type of polycyclic compounds, classified as compounds that contain more than one ring with at least two common … Read more

Categories Alkanes and Cycloalkanes Tags IUPAC Nomenclature 7 Comments

Naming Bicyclic Compounds – Practice Problems

by Dr. S. Gevorg
Naming bicyclic compounds-practice problems

Here are some practice problems for naming bicyclic compounds. Remember, to start numbering from one of the bridgehead carbon atoms. The numbering continues to include the largest ring towards the second bridgehead carbon, then the second-largest, and etc. (ring priority).  … Read more

Categories Alkanes and Cycloalkanes 1 Comment

How to Name a Compound with Multiple Functional Groups

by Dr. S. Gevorg
Naming Compounds with More Than One Functional Group

Naming a compound with more than one functional group is not as straightforward as it is for alkanes, alkyl halides, or alkenes. For example, how do you name a molecule that contains a nitrile and a ketone?     If … Read more

Categories Alkanes and Cycloalkanes Tags IUPAC Nomenclature 7 Comments

Primary Secondary Tertiary in Organic Chemistry

by Dr. S. Gevorg
Primary secondary tertiary organic chemistry

Today, we will talk about a terminology that you are going to use very often in your Organic Chemistry 1 class. That is the definition of primary, secondary, tertiary, and quaternary carbon atoms in organic chemistry. This is also referred … Read more

Categories Alkanes and Cycloalkanes 2 Comments

Gauche Conformation, Steric, Torsional Strain Energy Practice Problems

by Dr. S. Gevorg

Torsional and Steric Strain In the previous post, we talked about the Newman projections where we also covered the relative energies of anti, gauche, and syn conformations. The destabilization of certain conformations is due to Steric or Torsional strain. These two … Read more

Categories Alkanes and Cycloalkanes Tags Gauche, Newman Projections Leave a comment

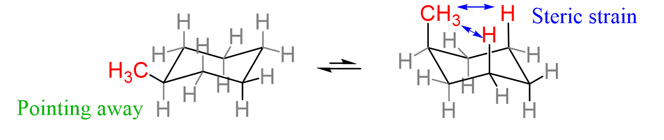
1,3-Diaxial Interactions and A value for Cyclohexanes

by Dr. S. Gevorg
methylcycohexane 1,3 diaxial interactions

In the previous post, we talked about drawing the two conformations of cyclohexane (ring-flip). Remember that conformations are different arrangements of atoms originating as a result of rotation(s) abound a single bond(s). This means that the ring flip is a reversible process … Read more

Categories Alkanes and Cycloalkanes Tags Chair, Gauche 11 Comments

Index of Hydrogen Deficiency (HDI or Degrees of Unsaturation)

by Dr. S. Gevorg

Saturated and unsaturated compounds In this post, we will talk about saturated and unsaturated compounds, the degree of unsaturation (or Hydrogen Deficiency Index -HDI), and the different ways of calculating it. Let’s start with simple examples of saturated and unsaturated compounds. … Read more

Categories Alkanes and Cycloalkanes Leave a comment

Cis and Trans Decalin

by Dr. S. Gevorg
Ring flip decalin

Decalin is the common name for fused bicyclic compounds that consist of two six-membered rings. As you may remember from the discussion about bicyclic compounds, fusing two six-membered rings does not give a 12-atom system because there are two common … Read more

Categories Alkanes and Cycloalkanes Tags Chair 1 Comment

Ring-Flip: Comparing the Stability of Chair Conformations with Practice Problems

by Dr. S. Gevorg
methyl dichlorocyclohexane chair ring flip more stable chair diaxial

In the previous two posts, we have talked about drawing the ring-flip of chair conformations and the A value (1,3-diaxial interactions). And we learned that for a given cyclohexane, the axial conformer is less stable than the corresponding equatorial conformer. … Read more

Categories Alkanes and Cycloalkanes Tags Chair, Gauche 7 Comments
Older posts
Newer posts
← Previous Page1 Page2 Page3 Page4 Next →
Organic Chemistry Study Guides
Chemistry Steps Membership Benefits Organic Chemistry

Structure and Bonding

  • Lewis Structures in Organic Chemistry
  • Valency and Formal Charges in Organic Chemistry
  • How to Determine the Number of Lone Pairs
  • Bonding Patterns in Organic Chemistry
  • sp3, sp2, and sp Hybridization in Organic Chemistry with Practice Problems
  • How to Quickly Determine The sp3, sp2, and sp Hybridization
  • Bond Lengths and Bond Strengths
  • VSEPR Theory – Molecular and Electron Geometry of Organic Molecules
  • Dipole-dipole, London Dispersion and Hydrogen Bonding Interactions
  • Dipole Moment and Molecular Polarity
  • Boiling Point and Melting Point in Organic Chemistry
  • Boiling Point and Melting Point Practice Problems
  • Solubility of Organic Compounds
  • General Chemistry Overview Quiz

Molecular Representations

  • Bond-Line or Skeletal Structures
  • Functional Groups in Organic Chemistry with Practice Problems
  • Bond-line, Lewis, and Condensed Structures with Practice Problems
  • Curved Arrows with Practice Problems
  • Resonance Structures in Organic Chemistry with Practice Problems
  • Rules for Drawing Resonance Structures
  • Major and Minor Resonance Contributor
  • How to Choose the More Stable Resonance Structure
  • Drawing Complex Patterns in Resonance Structures
  • Localized and Delocalized Lone Pairs with Practice Problems
  • Molecular Representations Quiz

Acids and Bases

  • Acids and Bases – General Chemistry
  • Organic Acids and Bases
  • Organic Acid-Base Mechanisms
  • Acid Strength and pKa
  • How to Determine the Position of Equilibrium for an Acid-Base Reaction
  • Inductive and Resonance (Mesomeric) Effects
  • Factors That Determine the pKa and Acid Strength
  • How to Choose an Acid or a Base to Protonate or Deprotonate a Given Compound
  • Lewis Acids and Bases
  • Basicity of Amines
  • Organic Acids and Bases Practice Problems
  • Organic Acids and Bases Quiz

Alkanes and Cycloalkanes

  • Naming Alkanes by IUPAC Nomenclature Rules Practice Problems
  • Naming Bicyclic Compounds
  • Naming Bicyclic Compounds-Practice Problems
  • How to Name a Compound with Multiple Functional Groups
  • Primary, Secondary, and Tertiary Carbon Atoms in Organic Chemistry
  • Constitutional or Structural Isomers with Practice Problems
  • Degrees of Unsaturation or Index of Hydrogen Deficiency
  • The Wedge and Dash Representation
  • Sawhorse Projections
  • Newman Projections with Practice Problems
  • Staggered and Eclipsed Conformations
  • Conformational Isomers of Propane
  • Newman Projection and Conformational Analysis of Butane
  • Newman Projection of Chair Conformation
  • Gauche Conformation
  • Gauche Conformation, Steric, Torsional Strain Energy Practice Problems
  • Ring Strain
  • Steric vs Torsional Strain
  • Conformational Analysis
  • Drawing the Chair Conformation of Cyclohexane
  • Ring Flip: Drawing Both Chair Conformations with Practice Problems
  • 1,3-Diaxial Interactions and A value for Cyclohexanes
  • Ring-Flip: Comparing the Stability of Chair Conformations with Practice Problems
  • Cis and Trans Decalin
  • IUPAC Nomenclature Practice Problems
  • IUPAC Nomenclature Summary Quiz
  • Alkanes and Cycloalkanes Practice Quiz

Stereochemistry

  • How to Determine the R and S Configuration
  • The R and S Configuration Practice Problems
  • What is Nonsuperimposable in Organic Chemistry
  • Chirality and Enantiomers
  • Diastereomers-Introduction and Practice Problems
  • Enantiomers vs Diastereomers
  • Cis and Trans Isomers
  • E and Z Alkene Configuration with Practice Problems
  • Enantiomers, Diastereomers, the Same or Constitutional Isomers with Practice Problems
  • Configurational Isomers
  • Optical Activity
  • Specific Rotation
  • Racemic Mixtures
  • Enantiomeric Excess (ee): Percentage of Enantiomers from Specific Rotation with Practice Problems
  • Symmetry and Chirality. Meso Compounds
  • Fischer Projections with Practice Problems
  • R and S Configuration in the Fischer Projection
  • R and S configuration on Newman projections
  • R and S Configuration of Allenes
  • Converting Bond-Line, Newman Projection, and Fischer Projections
  • Resolution of Enantiomers: Separate Enantiomers by Converting to Diastereomers
  • Stereochemistry Practice Problems
  • Stereochemistry Practice Quiz

Energy Changes In Organic Chemistry

  • Energy and Organic Chemistry Reactions
  • Bond Lengths and Bond Strengths
  • Homolytic and Heterolytic Bond Cleavage
  • The Heat of Reaction from Bond Dissociation Energies

Nucleophilic Substitution Reactions

  • Introduction to Alkyl Halides
  • Nomenclature of Alkyl Halides
  • Substitution and Elimination Reactions
  • Nucleophilic Substitution Reactions – An Introduction
  • All You Need to Know About the SN2 Reaction Mechanism
  • The SN2 Mechanism: Kinetics, Thermodynamics, Curved Arrows, and Stereochemistry with Practice Problems
  • The Stereochemistry of SN2 Reactions
  • Stability of Carbocations
  • The SN1 Nucleophilic Substitution Reaction
  • Reactions of Alkyl Halides with Water
  • The Stereochemistry of the SN1 Reaction Mechanism
  • The SN1 Mechanism: Kinetics, Thermodynamics, Curved Arrows, and Stereochemistry with Practice Problems
  • Steric Hindrance in SN2 and SN1 Reactions
  • Carbocation Rearrangements in SN1 Reactions with Practice Problems
  • Ring Expansion Rearrangements
  • Ring Contraction Rearrangements
  • When Is the Mechanism SN1 or SN2?
  • Reactions of Alcohols with HCl, HBr, and HI Acids
  • SOCl2 and PBr3 for Conversion of Alcohols to Alkyl Halides
  • Alcohols in SN1 and SN2 Reactions
  • How to Choose Molecules for Doing SN2 and SN1 Synthesis-Practice Problems
  • Exceptions in SN2 and SN1 Reactions
  • Nucleophilic Substitution and Elimination Practice Quiz
  • Reactions Map of Alkyl Halides

Alkenes: Structure, Stability, and Nomenclature

  • Alkenes: Structure and Stability
  • Naming Alkenes by IUPAC Nomenclature Rules
  • Cis and Trans Isomers
  • E and Z Alkene Configuration with Practice Problems

Elimination Reactions

  • Substitution and Elimination Reactions
  • The E2 Mechanism
  • E2 Elimination Practice Problems
  • Zaitsev's Rule - Regioselectivity of E2 Elimination Reactions
  • The Hofmann Elimination of Amines and Alkyl Fluorides
  • Stereoselectivity of E2 Elimination Reactions
  • Stereospecificity of E2 Elimination Reactions
  • SN2 and E2 Rates of Cyclohexanes
  • Elimination Reactions of Cyclohexanes with Practice Problems
  • POCl3 for Dehydration of Alcohols
  • The E1 Mechanism with Practice Problems
  • Regioselectivity of E1 Reactions
  • Stereoselectivity of E1 Reactions
  • How to tell if it is E2 or E1 Mechanism
  • SN1 vs E1 Reactions
  • SN2 vs E2 Reactions
  • Dehydration of Alcohols by E1 and E2 Elimination
  • Mesylates and Tosylates as Good Leaving Groups
  • Mitsunobu Reaction
  • SN1 SN2 E1 E2 – How to Choose the Mechanism
  • Polar Protic and Polar Aprotic Solvents
  • SN1 SN2 E1 or E2 - the Largest Collection of Practice Problems
  • The Hammond Postulate
  • The E1cB Elimination Mechanism
  • Nucleophilic Substitution and Elimination Practice Quiz
  • Reactions Map of Alkyl Halides

Addition Reactions of Alkenes

  • Electrophilic Addition Reactions to Alkenes
  • Markovnikov's Rule
  • Markovnikov's Rule with Practice Problems
  • Addition of Water to Alkenes
  • Acid-Catalyzed Hydration of Alkenes with Practice Problems
  • Rearrangements in Alkene Addition Reactions
  • Oxymercuration-Demercuration
  • Addition of Alcohols to Alkenes
  • Free-Radical Addition of HBr: Anti-Markovnikov Addition
  • Hydroboration-Oxidation: The Mechanism
  • Hydroboration-Oxidation of Alkenes: Regiochemistry and Stereochemistry with Practice Problems
  • Halogenation of Alkenes and Halohydrin Formation
  • The Regiochemistry of Alkene Addition Reactions
  • The Stereochemistry of Alkene Addition Reactions
  • Cis product in an anti-Addition Reaction of Alkenes
  • Ozonolysis of Alkenes with Practice Problems
  • Syn Dihydroxylation of Alkenes with KMnO4 and OsO4
  • Anti-Dihydroxylation of Alkenes with MCPBA and Other Peroxides with Practice Problems
  • Oxidative Cleavage of Alkenes with KMno4 and O3
  • Alkene Reactions Practice Problems
  • Changing the Position of a Double Bond
  • Changing the Position of a Leaving Group
  • Alkenes Multi-Step Synthesis Practice Problems
  • Alkene Addition Reactions Practice Quiz
  • Reactions Map of Alkenes

Alkynes

  • Introduction to Alkynes
  • Naming Alkynes by IUPAC Nomenclature Rules - Practice Problems
  • Preparation of Alkynes by Elimination Reactions
  • Hydrohalogenation of Alkynes
  • Addition of Water to Alkynes
  • Acid-Catalyzed Hydration of Alkynes with Practice Problems
  • Reduction of Alkynes
  • Halogenation of Alkynes
  • Hydroboration-Oxidation of Alkynes with Practice Problems
  • Ozonolysis of Alkynes with Practice Problems
  • Alkylation of Terminal Alkynes in Organic Synthesis with Practice Problems
  • Reactions of Acetylide Ions
  • Alkyne reactions summary practice problems
  • Alkyne Synthesis Reactions Practice Problems
  • Alkyne Naming and Reactions Practice Quiz
  • Reactions Map of Alkynes

Nuclear Magnetic Resonance (NMR) Spectroscopy

  • NMR Spectroscopy – An Easy Introduction
  • NMR Chemical Shift
  • NMR Chemical Shift Range and Value Table
  • NMR Number of Signals and Equivalent Protons
  • Homotopic, Enantiotopic, Diastereotopic, and Heterotopic
  • Homotopic Enantiotopic Diastereotopic Practice Problems
  • Integration in NMR Spectroscopy
  • Splitting and Multiplicity (N+1 rule) in NMR Spectroscopy
  • NMR Signal Splitting N+1 Rule Multiplicity Practice Problems
  • 13C Carbon NMR
  • DEPT NMR: Signals and Problem Solving
  • NMR Spectroscopy-Carbon-Dept-IR Practice Problems

Organic Structure Determination

  • NMR Spectroscopy-Carbon-Dept-IR Practice Problems
  • Infrared (IR) Spectroscopy Practice Problems
  • Solving Mass Spectrometry Practice Problems

Radical Reactions

  • Free-Radical Addition of HBr: Anti-Markovnikov Addition
  • Initiation, Propagation, Termination in Radical Reactions
  • Selectivity in Radical Halogenation
  • Stability of Radicals
  • Resonance Structures of Radicals
  • Stereochemistry of Radical Halogenation with Practice Problems
  • Allylic Bromination by NBS with Practice Problems
  • Radical Halogenation in Organic Synthesis

Reactions of Alcohols

  • Nomenclature of Alcohols: Naming Alcohols based on IUPAC Rules with Practice Problems
  • Preparation of Alcohols via Substitution or Addition Reactions
  • Reaction of Alcohols with HCl, HBr, and HI Acids
  • Mesylates and Tosylates as Good Leaving Groups
  • SOCl2 and PBr3 for Conversion of Alcohols to Alkyl Halides
  • Alcohols in Substitution Reactions  Practice Problems
  • POCl3 for Dehydration of Alcohols
  • Dehydration of Alcohols by E1 and E2 Elimination
  • The Oxidation States of Organic Compounds
  • LiAlH4 and NaBH4 Carbonyl Reduction Mechanism
  • Alcohols from Carbonyl Reductions - Practice Problems
  • Grignard Reaction in Preparing Alcohols with Practice Problems
  • Grignard Reaction in Organic Synthesis with Practice Problems
  • Protecting Groups For Alcohols in Organic Synthesis
  • Oxidation of Alcohols: PCC, PDC, CrO3, DMP, Swern, and All of That
  • Diols: Nomenclature, Preparation, and Reactions
  • NaIO4 Oxidative Cleavage of Diols
  • The Pinacol Rearrangement
  • The Williamson Ether Synthesis
  • Alcohol Reactions Practice Problems
  • Naming Thiols and Sulfides
  • Reactions of Thiols
  • Alcohols Quiz – Naming, Preparation, and Reactions
  • Reactions Map of Alcohols

Ethers and Epoxides

  • Preparation of Epoxides
  • Ring-Opening Reactions of Epoxides
  • Reactions of Epoxides under Acidic and Basic Conditions
  • Reactions of Epoxides Practice Problems
  • The Grignard Reaction of Epoxides
  • Naming Ethers
  • The Williamson Ether Synthesis
  • Reactions of Ethers-Ether Cleavage

Conjugated Systems

  • Resonance and Conjugated Dienes
  • Allylic Carbocations
  • 1,2 and 1,4 Electrophilic Addition to Dienes
  • Kinetic vs Thermodynamic Control of Electrophilic Addition to Dienes

The Diels-Alder Reaction

  • Diels-Alder Reaction: Dienes and Dienophiles
  • Predict the Products of the Diels-Alder Reaction with Practice Problems
  • Endo and Exo Products of Diels-Alder Reaction with Practice Problems
  • Regiochemistry of the Diels–Alder Reaction with Practice Problems
  • Identify the Diene and Dienophile of the Diels-Alder reaction with Practice Problems
  • Diels-Alder Reaction in Organic Synthesis Practice Problems

Aromatic Compounds

  • Naming Aromatic Compounds
  • Introduction to Aromatic Compounds
  • Benzene – Aromatic Structure and Stability
  • Aromaticity and Huckel's Rule
  • The 4n+2 Rule
  • Identify Aromatic, Antiaromatic, or Nonaromatic Compounds
  • Frost Circle
  • Annulenes

Electrophilic Aromatic Substitution

  • Electrophilic Aromatic Substitution – The Mechanism
  • The Halogenation of Benzene
  • The Nitration of Benzene
  • The Sulfonation of Benzene
  • Activating and Deactivating Groups
  • Friedel-Crafts Alkylation with Practice Problems
  • Friedel-Crafts Acylation with Practice Problems
  • Vilsmeier-Haack Reaction
  • The Alkylation of Benzene by Acylation-Reduction
  • Ortho, Para, Meta in EAS with Practice Problems
  • Ortho, Para, and Meta in Disubstituted Benzenes
  • Why Are Halogens Ortho-, Para- Directors yet Deactivators?
  • Is Phenyl an Ortho/Para or Meta Director?
  • Limitations of Electrophilic Aromatic Substitution Reactions
  • Orientation in Benzene Rings With More Than One Substituent
  • Synthesis of Aromatic Compounds From Benzene
  • Arenediazonium Salts in Electrophilic Aromatic Substitution
  • Reactions at the Benzylic Position
  • Benzylic Bromination
  • Nucleophilic Aromatic Substitution
  • Nucleophilic Aromatic Substitution Practice Problems
  • Reactions of Phenols
  • Reactions of Aniline
  • Meta Substitution on Activated Aromatic Ring
  • Electrophilic Aromatic Substitution Practice Problems
  • Aromatic Compounds Quiz
  • Reactions Map of Aromatic Compounds

Aldehydes and Ketones

  • Nomenclature of Aldehydes and Ketones
  • How to Name a Compound with Multiple Functional Groups
  • Preparation of Aldehydes and Ketones
  • Nucleophilic Addition to Carbonyl Groups
  • Reduction of Aldehydes and Ketones
  • Reactions of Aldehydes and Ketones with Water
  • Reactions of Aldehydes and Ketones with Alcohols: Acetals and Hemiacetals
  • Acetals as Protecting Groups for Aldehydes and Ketones
  • Formation and Reactions of Imines and Enamines
  • Reductive Amination
  • Acetal Hydrolysis Mechanism
  • Imine and Enamine Hydrolysis Mechanism
  • Hydrolysis of Acetals, Imines, and Enamines-Practice Problems
  • Reaction of Aldehydes and Ketones with CN, Cyanohydrin Formation
  • The Wittig Reaction: Examples and Mechanism
  • The Wittig Reaction: Practice Problems
  • Aldehydes and Ketones to Carboxylic Acids
  • Reactions of Aldehydes and Ketones - Practice Problems
  • Aldehydes and Ketones Reactions Practice Quiz
  • Reactions Map of Aldehydes
  • Reactions Map of Ketones

Carboxylic Acids and Their Derivatives-Nucleophilic Acyl Substitution

  • Preparation of Carboxylic Acids
  • Naming Carboxylic Acids
  • Naming Nitriles
  • Naming Esters
  • Naming Carboxylic Acid Derivatives – Practice Problems
  • The Addition-Elimination Mechanism
  • Fischer Esterification
  • Ester Hydrolysis by Acid and Base-Catalyzed Hydrolysis
  • What is Transesterification?
  • Esters Reaction with Amines – The Aminolysis Mechanism
  • Ester Reactions Summary and Practice Problems
  • Preparation of Acyl (Acid) Chlorides (ROCl)
  • Reactions of Acid Chlorides (ROCl) with Nucleophiles
  • R2CuLi Organocuprates - Gilman Reagent
  • Reaction of Acyl Chlorides with Grignard and Gilman (Organocuprate) Reagents
  • Reduction of Acyl Chlorides by LiAlH4, NaBH4, and LiAl(OtBu)3H
  • Reduction of Carboxylic Acids and Their Derivatives
  • Preparation and Reaction Mechanism of Carboxylic Anhydrides
  • Amides - Structure and Reactivity
  • Naming Amides
  • Amides Hydrolysis: Acid and Base-Catalyzed Mechanism
  • Amide Dehydration Mechanism by SOCl2, POCl3, and P2O5
  • Amide Reduction Mechanism by LiAlH4
  • Reduction of Amides to Amines and Aldehydes
  • Amides Preparation and Reactions Summary
  • Amides from Carboxylic Acids-DCC and EDC Coupling
  • The Mechanism of Nitrile Hydrolysis To Carboxylic Acid
  • Nitrile Reduction Mechanism with LiAlH4 and DIBAL to Amine or Aldehyde
  • The Mechanism of Grignard and Organolithium Reactions with Nitriles
  • The Reactions of Nitriles
  • Converting Nitriles to Amides
  • Carboxylic Acids to Ketones
  • Esters to Ketones
  • Carboxylic Acids and Their Derivatives Practice Problems
  • Carboxylic Acids and Their Derivatives Quiz
  • Reactions Map of Carboxylic Acid Derivatives

Alpha Carbon Chemistry: Enols and Enolates

  • Keto-Enol Tautomerization
  • Alpha Halogenation of Enols and Enolates
  • The Haloform and Iodoform Reactions
  • Alpha Halogenation of Carboxylic Acids
  • Alpha Halogenation of Enols and Enolates Practice Problems
  • The E1cB Elimination Mechanism
  • Aldol Reaction – Principles and Mechanism
  • Aldol Condensation – Dehydration of Aldol Addition Product
  • Intramolecular Aldol Reactions
  • Aldol Addition and Condensation Reactions – Practice Problems
  • Crossed Aldol And Directed Aldol Reactions
  • Crossed Aldol Condensation Practice Problems
  • The Cannizzaro reaction
  • Alkylation of Enolates Alpha Position
  • Enolate Alkylation Practice Problems
  • Acetoacetic Ester Synthesis
  • Acetoacetic Ester Enolates Practice Problems
  • Malonic Ester Synthesis
  • Decarboxylation
  • Michael Reaction: The Conjugate Addition of Enolates
  • Robinson Annulation, Shortcut, and Retrosynthesis
  • Claisen Condensation
  • Dieckmann condensation – An Intramolecular Claisen Reaction
  • Crossed Claisen and Claisen Variation Reactions
  • Claisen Condensation Practice Problems
  • Stork Enamine Synthesis
  • Mannich Reaction
  • Enolates in Organic Synthesis – a Comprehensive Practice Problem

Amines

  • Naming Amines: Systematic and Common Nomenclature
  • Preparation of Amines
  • The Gabriel Synthesis of Primary Amines
  • Imines from Aldehydes and Ketones with Primary Amines
  • Enamines from Aldehydes and Ketones with Secondary Amines
  • The Hofmann Elimination of Amines and Alkyl Fluorides
  • The Reaction of Amines with Nitrous Acid
  • Reactions of Amines Practice Problems
  • The Cope elimination
  • Basicity of Amines
  • Boc Protecting Group for Amines

Organic Synthesis Problems

  • Organic Chemistry Multistep Synthesis Practice Problems
  • Organic Synthesis Puzzles
  • Acetals as Protecting Groups for Aldehydes and Ketones
  • How to Choose Molecules for Doing SN2 and SN1 Synthesis-Practice Problems
  • Alkene Reactions Practice Problems
  • Changing the Position of a Double Bond
  • Changing the Position of a Leaving Group
  • Alkenes Multi-Step Synthesis Practice Problems
  • Alkyne Synthesis Reactions Practice Problems
  • Radical Halogenation in Organic Synthesis
  • Grignard Reaction in Organic Synthesis with Practice Problems
  • Ortho Para Meta in EAS with Practice Problems
  • Orientation in Benzene Rings With More Than One Substituent

Carbohydrates

  • Carbohydrates – Structure and Classification
  • Erythro and Threo
  • R and S Configuration on Fischer Projections
  • D and L Sugars
  • Aldoses and Ketoses: Classification and Stereochemistry
  • Epimers and Anomers
  • Converting Fischer, Haworth, and Chair forms of Carbohydrates
  • Mutarotation
  • Glycosides
  • Isomerization of Carbohydrates
  • Ether and Ester Derivatives of Carbohydrates
  • Oxidation of Monosaccharides
  • Reduction of Monosaccharides
  • Kiliani–Fischer Synthesis
  • Wohl Degradation
  • Carbohydrates Practice Problem Quiz

Chemistry Steps LLC

Organic Chemistry Study Materials, Practice Problems, Summary Sheet Guides, Multiple-Choice Quizzes. It’s all here – Just keep browsing.

 

5900 Balcones Drive, Austin, TX 78731

info@chemistrysteps.com

  • YouTube
  • Facebook
  • Pinterest
  • Instagram

Study Guides

Tutoring

Reaction Maps

Sign Up

General Chemistry

About

Terms

Privacy Policy

Contact

Reviews

Copyright © 2016 - 2026 Chemistry Steps
Next Page »