Rearrangements in E1 Reactions
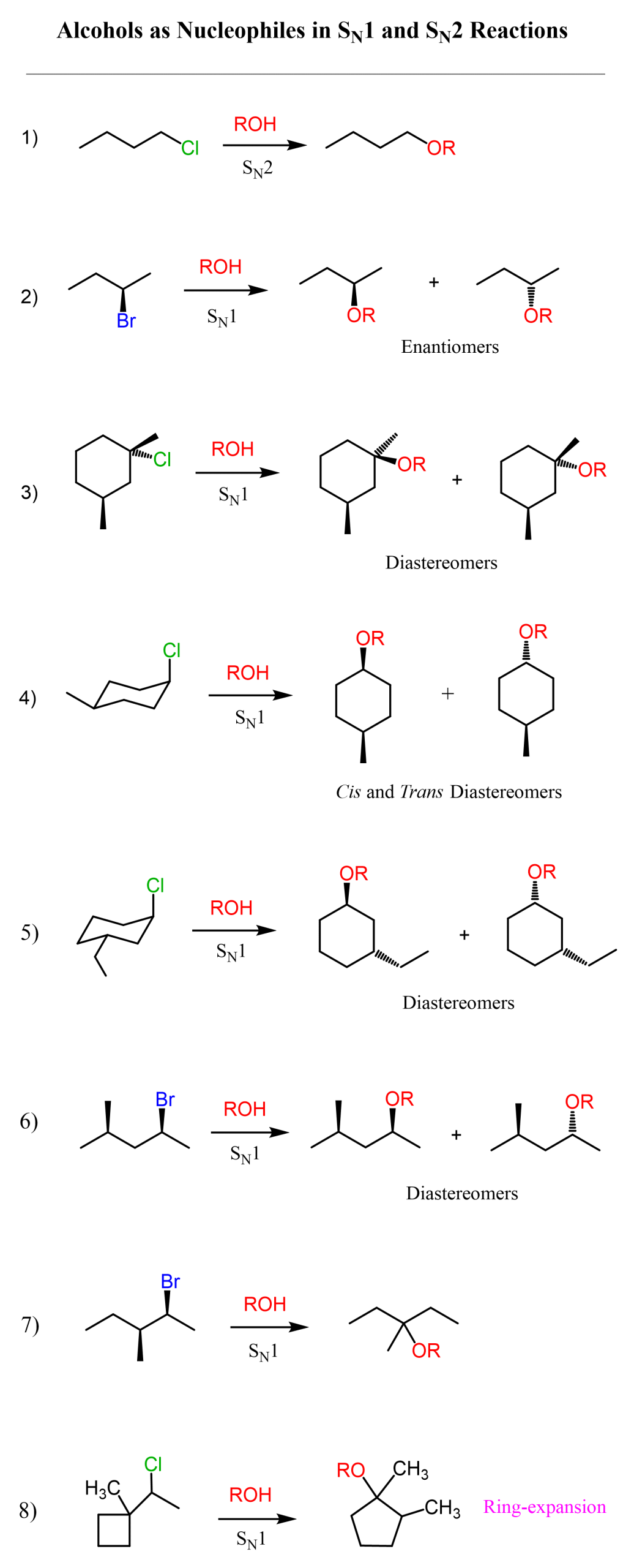
We have seen that carbocation rearrangements may lead to unexpected products in SN1 nucleophilic substitution reactions. For example, when the following alkyl halide is reacted with water, the major product of the reaction is formed via a hydride shift, which … Read more
