Michael Addition Reaction Mechanism

Michael Addition Mechanism

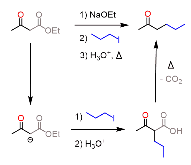
Michael reactions are conjugate-addition reactions of doubly stabilized enolates such as malonic ester, acetoacetic ester, and the like with ɑ, β-unsaturated carbonyl compounds:     So, the Michael reaction is a particular type of conjugate addition reaction that ɑ, β-unsaturated … Read more